
FİLTRE REGÜLATÖR
Kompakt, gömülü basınç göstergesi
Kilitlenebilir, hassas basınç ayar mekanizması
Optimum seviyede partikül filtreleme
Metal ağırlıklı, yüksek dayanımlı gövde yapısı
Dahili bağlantı aparatı
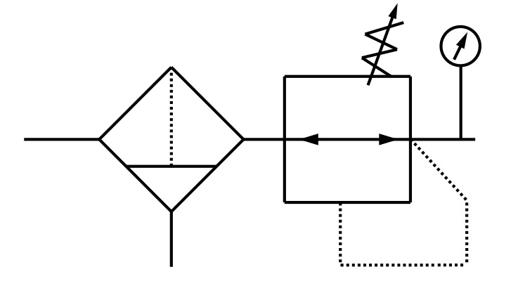
Sembol

Teknik Özellikler
Özellik | SMS1FRL14YO | SMS1FRL12YO |
---|---|---|
Çalışma Ortamı | Hava G1/4" | Hava G1/2" |
Giriş Portu Filtreleme | 40µm | 40µm |
Hassasiyeti Çalışma | 1,5-10 bar (-5°C) ~ (60°C) | 1,5-10 bar (-5°C) ~ (60°C) |
Basıncı Çalışma | 10cm³ | 40cm³ |
Sıcaklığı Filtre | Yarı Otomatik | Yarı Otomatik |
Haznesi Tahliye | — | — |
Ağırlık | 0,32 kg | 0,62 kg |
Teknik Ölçüler

Model | A | B | C | K | KA | KB | Q |
---|---|---|---|---|---|---|---|
SMS1FR14YO | 47 | 62 | 161 | 5,5 | 34 | 15 | G1/4" |
SMS1FR12YO | 60 | 73 | 230 | 6,5 | 37,5 | 10 | G1/2" |