
FİLTRE+REGÜLATÖR+YAĞLAYICI
Pratik ve sağlam montaj imkanı
Yüksek hassasiyetli basınç ayarı
Nem ve katı partiküllerin ayrıştırılmasında üstün filtreleme
Gelişmiş yağlama sistemiyle optimum yağ beslemesi
Metal ağırlıklı, yüksek dayanımlı gövde yapısı
Dahili bağlantı aparatı
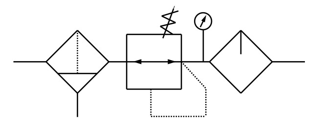
Sembol

Teknik Özellikler
Özellik | SMS1FRL14YO | SMS1FRL12YO |
---|---|---|
Çalışma Ortamı | Hava G1/4" | Hava G1/2" |
Giriş Portu Filtreleme | 40µm | 40µm |
Hassasiyeti Çalışma | 1,5-10 bar (-5°C) ~ (60°C) ISO | 1,5-10 bar (-5°C) ~ (60°C) ISO |
Sıcaklığı Yağlayıcı | VG32 10cm³ | VG32 40cm³ |
Filtre Haznesi | 25cm³ Yarı | 75cm³ Yarı |
Yağlayıcı Haznesi | Otomatik | Otomatik |
Tahliye Ağırlık | 0,44 kg | 1 kg |
Teknik Ölçüler

Model | A | B | C | K | KA | KB | Q |
---|---|---|---|---|---|---|---|
SMS1FRL14YO | 97 | 62 | 161 | 5,5 | 50 | 8,5 | G1/4" |
SMS1FRL12YO | 124 | 72 | 225,5 | 6,5 | 70 | 9 | G1/2" |